Nel mondo della progettazione ingegneristica, specialmente quando si affrontano analisi termiche avanzate, comprendere come il calore venga trasferito tra superfici è importante per ottenere modelli affidabili e prodotti più performanti. Nei software di simulazione come SOLIDWORKS e SOLIDWORKS Simulation, il calcolo dello scambio termico per irraggiamento permette di prevedere il comportamento reale dei materiali in condizioni operative critiche.
La legge di Stefan Boltzmann rappresenta un punto di riferimento utile per descrivere la radiazione termica e l’irraggiamento dei materiali.
Ma come si applica questa legge nelle simulazioni? Cosa succede quando i materiali non si comportano come corpi neri? E come si gestisce l’irraggiamento tra superfici, soprattutto quando si utilizzano mesh con shell?
Quando si realizza un progetto 3D che prevede un’analisi termica, è indispensabile conoscere come avviene la radiazione di corpo nero e come la temperatura influenzi l’energia emessa da una superficie. Questi fenomeni diventano ancora più rilevanti durante l’analisi agli elementi finiti (analisi FEM), poiché un corretto trattamento dell’irraggiamento termico influisce direttamente sui risultati della simulazione.
In questo articolo mettiamo ordine tra formule, concetti e casi applicativi, fornendo una guida chiara e utile a chi progetta con strumenti di simulazione avanzati come SOLIDWORKS Simulation.
Legge di Stefan Boltzmann: la legge fondamentale dell’irraggiamento termico
La legge di Stefan Boltzmann stabilisce che la potenza emissiva di un corpo nero è proporzionale alla quarta potenza della sua temperatura assoluta:
![]()
dove σ è la costante di Boltzmann (o costante di Stefan-Boltzmann) e rappresenta un valore fondamentale nella descrizione della radiazione termica. Questa legge, derivata integrando la distribuzione di Planck, descrive la quantità di energia emessa da un corpo ideale, fornendo la base teorica per ogni studio sulla radiazione di corpo nero.
Quando un corpo caldo scambia energia con l’ambiente circostante, il flusso netto di energia irradiata è:

Un’equazione chiave anche nelle simulazioni FEM, indispensabile per descrivere lo scambio termico per irraggiamento.
Superfici reali: l’impatto dell’emissività nella progettazione
Nella realtà ingegneristica, pochi materiali si comportano come corpi neri perfetti. Per questo nella legge di Stefan Boltzmann si introduce il coefficiente di emissività ε, che varia tra 0 e 1 e dipende dalla finitura superficiale, dalla temperatura e dal materiale.
La formula diventa:

L’emissività riveste un ruolo fondamentale in ogni modello 3D dedicato alla simulazione termica, perché determina la reale capacità della superficie di trasferire energia attraverso irraggiamento. Nei processi di modellazione 3D, conoscere questi parametri significa impostare correttamente l’analisi elementi finiti (analisi FEA) ed evitare errori nella previsione delle temperature operative.
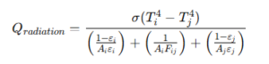
Scambio radiativo tra superfici: l’importanza del fattore di vista
Nei casi in cui due superfici scambiano energia tra loro, anziché con l’ambiente, diventa necessario considerare il fattore di vista (o view factor) Fij. È questo parametro che determina quanta radiazione emessa da una superficie raggiunge direttamente l’altra.
La formula generale dello scambio radiativo tra due superfici con emissività diverse diventa più articolata:

La formula è fondamentale in applicazioni progettuali come:
- involucri elettronici;
- scambiatori;
- forni;
- camere termiche.
All’interno di SOLIDWORKS Simulation software, il calcolo automatico del fattore di vista consente di ottenere un’analisi FEM più accurata, permettendo al progettista di prevedere lo scambio termico reale direttamente all’interno del proprio programma 3D.
Irraggiamento nelle superfici shell: un grande vantaggio per le analisi FEM
Quando l’analisi FEA si basa su una mesh a elementi finiti di tipo shell, il software di simulazione considera l’irraggiamento su entrambi i lati della superficie. Questo è particolarmente utile nella progettazione 3D di componenti sottili, pannelli, lamiere o scocche che richiedono una simulazione FEM dettagliata.
Si possono verificare tre casi principali:
- Irraggiamento verso l’ambiente
- Può avvenire dal solo lato superiore, solo dal lato inferiore o da entrambi.
- Si usa quando la superficie scambia energia solo con l’ambiente circostante.
- Sistema aperto: irraggiamento verso altre superfici e verso l’ambiente
- Attivo quando nel software si seleziona sia “Da superficie a superficie” sia “Sistema aperto”.
- Permette a ogni lato dello shell di irradiare sia altre superfici visibili sia l’ambiente.
- Se una superficie non “vede” altre superfici, il fattore di vista verso l’ambiente diventa 1.
- Sistema chiuso: irraggiamento solo tra superfici
- L’irraggiamento avviene solo tra le superfici interne definite.
- Nessuno scambio verso l’ambiente.
- Ideale per camere chiuse, involucri e cavità.
Queste configurazioni consentono di ottenere simulazioni altamente accurate della trasmissione del calore anche in modelli sottili e complessi, come pannelli, lamiere, carter e involucri elettronici.
Conclusioni
La gestione dello scambio termico per irraggiamento è una componente essenziale delle simulazioni termiche avanzate. Conoscere la legge di Stefan-Boltzmann, l’effetto dell’emissività, il ruolo dei fattori di vista e il funzionamento dell’irraggiamento nelle superfici shell consente di impostare modelli accurati e predittivi.
Software di progettazione come SOLIDWORKS Simulation permettono di integrare queste leggi fisiche in modo intuitivo, offrendo agli ingegneri la possibilità di ottimizzare il comportamento termico dei loro prodotti già in fase di progettazione.
Una corretta comprensione di questi principi non solo migliora la qualità delle simulazioni, ma riduce tempi, costi e margini d’errore, portando a soluzioni tecniche migliori e più affidabili.
Vuoi sfruttare al massimo le potenzialità della simulazione termica?
Contattaci per scoprire come integrare SOLIDWORKS Simulation nel tuo processo di progettazione e ottimizzare i tuoi modelli 3D con analisi più rapide, precise e intuitive.